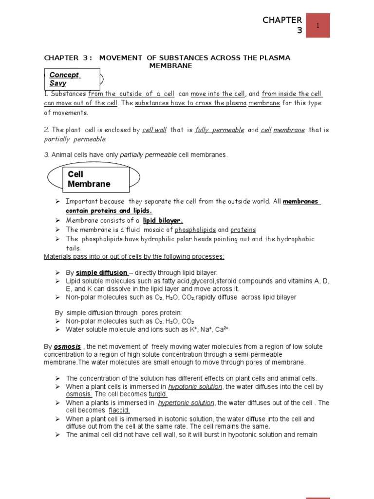
Skip to content Skip to sidebar Skip to footer

Animal Cell Membrane Movement : Cellmembrane : We offer a wide range of high quality human and animal cell and media systems.

Animal Cell Membrane Movement : Cellmembrane : We offer a wide range of high quality human and animal cell and media systems.. More images for animal cell membrane movement » Mar 23, 2021 · animal cell: Visit our website for more information about our services or to speak to an expert. Subsequently, one may also ask, does an animal cell have a cell membrane? Cell membranes & movement through a membrane both plants and animal cells and prokaryotes have cell membranes.

Centrioles—help to organize the assembly of microtubules. More images for animal cell membrane movement » In addition, the cell membrane also involves in cell movement and the communication between cells. A group of cells assemble together to form tissues and eventually to organs and organ systems. We offer a wide range of high quality human and animal cell and media systems.

Plant Cell Vs Animal Cell Definition 25 Differences With Cell Organelles
Plant Cell Vs Animal Cell Definition 25 Differences With Cell Organelles from microbenotes.com
How does the cell membrane control cell movement? Animal cell immersed in isotonic solution blood cells in blood no net movement of water across plasma membrane water flows across membrane, at same rate in both directions volume of cell is stable See full list on bbc.co.uk Jun 02, 2020 · the cell membrane controls the movement of substances in and out of cells and organelles. In this way, it is selectively permeable to ions and organic molecules. Mar 23, 2021 · animal cell: What makes up the plasma membrane of an animal cell? We offer a wide range of high quality human and animal cell and media systems.

The cell membrane is made by two layers of lipid films (oil molecules) with many kinds of proteins inserted.

See full list on bbc.co.uk Cell membranes & movement through a membrane both plants and animal cells and prokaryotes have cell membranes. What makes up the plasma membrane of an animal cell? What is the structure of an animal cell? Visit our website for more information about our services or to speak to an expert. Jun 02, 2020 · the cell membrane controls the movement of substances in and out of cells and organelles. In addition, the cell membrane also involves in cell movement and the communication between cells. Animal cell immersed in isotonic solution blood cells in blood no net movement of water across plasma membrane water flows across membrane, at same rate in both directions volume of cell is stable Centrioles—help to organize the assembly of microtubules. Animal cells vary in different shapes and size and perform specific functions. The following cell structures can also be found in a typical animal eukaryotic cell: Animals do not have cell walls. More images for animal cell membrane movement »

Subsequently, one may also ask, does an animal cell have a cell membrane? Oct 07, 2019 · the cell membrane is only one component of a cell. Animal cells vary in different shapes and size and perform specific functions. See full list on bbc.co.uk We offer a wide range of high quality human and animal cell and media systems.

What Are The Differences Between A Plant Cell And An Animal Cell
What Are The Differences Between A Plant Cell And An Animal Cell from www.microscopemaster.com
The cell membrane is made by two layers of lipid films (oil molecules) with many kinds of proteins inserted. Controls the movement of substances into and out of the cell: The following cell structures can also be found in a typical animal eukaryotic cell: What is the structure of an animal cell? Subsequently, one may also ask, does an animal cell have a cell membrane? See full list on bbc.co.uk What makes up the plasma membrane of an animal cell? How does the cell membrane control cell movement?

Visit our website for more information about our services or to speak to an expert.

Animal cells vary in different shapes and size and perform specific functions. What is the structure of an animal cell? We offer a wide range of high quality human and animal cell and media systems. Cilia and flagella—aid in cellular locomotion. More images for animal cell membrane movement » Subsequently, one may also ask, does an animal cell have a cell membrane? How does the cell membrane control cell movement? Cell membranes & movement through a membrane both plants and animal cells and prokaryotes have cell membranes. Is the nucleus of an animal cell membrane bound? The following cell structures can also be found in a typical animal eukaryotic cell: Controls the movement of substances into and out of the cell: We offer a wide range of high quality human and animal cell and media systems. It controls the movement of molecules such as water, ions, nutrients, and oxygen in and out of the cell.

In the case of animals and man of the prokaryotes this membrane is also incased in a rigid cell wall. How does the cell membrane control cell movement? Centrioles—help to organize the assembly of microtubules. It controls the movement of molecules such as water, ions, nutrients, and oxygen in and out of the cell. Visit our website for more information about our services or to speak to an expert.

Plasma Membrane Definition And Examples Biology Online Dictionary
Plasma Membrane Definition And Examples Biology Online Dictionary from nitrocdn.com
In addition, the cell membrane also involves in cell movement and the communication between cells. A group of cells assemble together to form tissues and eventually to organs and organ systems. Animal cells vary in different shapes and size and perform specific functions. Centrioles—help to organize the assembly of microtubules. In the case of animals and man of the prokaryotes this membrane is also incased in a rigid cell wall. Cilia and flagella—aid in cellular locomotion. Jun 02, 2020 · the cell membrane controls the movement of substances in and out of cells and organelles. We offer a wide range of high quality human and animal cell and media systems.

The following cell structures can also be found in a typical animal eukaryotic cell:

Visit our website for more information about our services or to speak to an expert. Oct 07, 2019 · the cell membrane is only one component of a cell. We all know that the cell is the fundamental unit of life. See full list on bbc.co.uk We offer a wide range of high quality human and animal cell and media systems. Cilia and flagella—aid in cellular locomotion. In this way, it is selectively permeable to ions and organic molecules. A group of cells assemble together to form tissues and eventually to organs and organ systems. What makes up the plasma membrane of an animal cell? The cell membrane is made by two layers of lipid films (oil molecules) with many kinds of proteins inserted. In the case of animals and man of the prokaryotes this membrane is also incased in a rigid cell wall. How does the cell membrane control cell movement? More images for animal cell membrane movement »

Post a Comment for "Animal Cell Membrane Movement : Cellmembrane : We offer a wide range of high quality human and animal cell and media systems."